ترنج موبایل
کد خبر: ۷۹۴۰۵۴

این اپلیکیشن با کمک گوشی هوشمند تازگی شیر را می‌سنجد!

این اپلیکیشن با کمک گوشی هوشمند تازگی شیر را می‌سنجد!

با استفاده از اپلیکیشن وایب‌میلک، دیگر نیازی به نگرانی بابت فاسد شدن شیر نیست. این اپلیکیشن با استفاده از سنسور‌های گوشی هوشمند، به راحتی و بدون باز کردن پاکت شیر، تازگی آن را تشخیص می‌دهد و از هدر رفتن مواد غذایی جلوگیری می‌کند.

یک اپلیکیشن با استفاده از ارتعاش داخلی یک تلفن هوشمند بدون نیاز به باز کردن درب پاکت، به دقت تشخیص می‌دهد که آیا شیر خراب شده است یا خیر. به گفته محققان، این فناوری می‌تواند به جلوگیری از بیماری و ریختن شیر فاسد در فاضلاب کمک کند. تصور کنید اول صبح است، شیر را از یخچال بیرون می‌آورید تا به قهوه خود اضافه کنید. اما به جای شیر سفید مایع، یک مایع زرد و ناسالم بیرون می‌آید. پاکت شیر را بو می‌کنید تا دوباره بررسی کنید که آنچه می‌بینید درست است و بوی ترشی به مشام می‌رسد. قبل از اینکه آن را در سینک بریزید، به تاریخ مصرف نگاه می‌کنید و این ناامید کننده است، زیرا شیر هنوز تاریخ دارد.

به گزارش ایسنا به نقل از نیواطلس، محققان دانشگاه نیو ساوث ولز (UNSW) سیدنی، یک اپلیکیشن تلفن هوشمند به نام وایب‌میلک (VibMilk) توسعه داده‌اند که فاسد شدن شیر را با استفاده از ویبره گوشی هوشمند بدون باز کردن پاکت تشخیص می‌دهد.

اپلیکیشنی که با گوشی هوشمند تازگی شیر را می‌سنجد!

پروفسور ون هو (Wen Hu) از دپارتمان علوم و مهندسی کامپیوتر دانشگاه نیوساوث‌ولز می‌گوید: می‌توان شیر را برای بررسی سلامت، بو یا مزه کرد، اما این کار نیاز به باز کردن بسته‌بندی آن دارد. انجام این کار شیر را در معرض باکتری قرار می‌دهد و این باعث تسریع فساد می‌شود. وایب میلک روشی غیر تهاجمی است، به این معنی که می‌توانید تازگی شیر را بدون باز کردن مهر و موم آن، بررسی کنید.

ترکیب شیر از آب، چربی‌ها، پروتئین‌ها و ویتامین‌ها بستر مناسبی را برای رشد انواع باکتری‌ها فراهم می‌کند که برخی از آنها برای انسان مضر هستند. در حالی که روش‌های پاستوریزاسیون و دمای فوق‌العاده بالا (UHT) برای جلوگیری از رشد باکتری‌ها طراحی شده‌اند، اما همیشه موفقیت‌آمیز نیستند و منجر به بیماری، فراخوان مواد غذایی، هدر رفتن و خسارات مالی می‌شوند.

یک مطالعه در سال ۲۰۲۲ نشان داد که خانواده‌های آمریکایی ۱۹ درصد از محصولات لبنی را که خریداری می‌کنند دور می‌ریزند. بسیاری از مصرف‌کنندگان برای تعیین اینکه آیا محصول برای نوشیدن بی‌خطر است یا خیر، به تاریخ‌های مصرف روی پاکت‌های شیر تکیه می‌کنند. با این حال، محققان می‌گویند این اعداد فقط تخمین‌های تقریبی هستند و می‌توانند نادرست باشند.

اپلیکیشنی که با گوشی هوشمند تازگی شیر را می‌سنجد!

هو می‌گوید: تاریخ‌هایی که می‌گوید بهترین زمان مصرف یک محصول چه زمانی است، یک راهنما است و نه انقضای قطعی. زمانی که تولیدکنندگان این تاریخ‌ها را تعیین می‌کنند، بر اساس بدترین سناریو‌ها در مورد عواملی مانند دما و مدت زمان ذخیره سازی مفروضاتی دارند. اگر شیر در شرایط صحیح نگهداری شود، مصرف آن چند روز بعد از تاریخ نیز بی‌خطر خواهد بود. اما اگر اینطور نباشد، حتی ممکن است تا آن تاریخ نیز خراب شود.

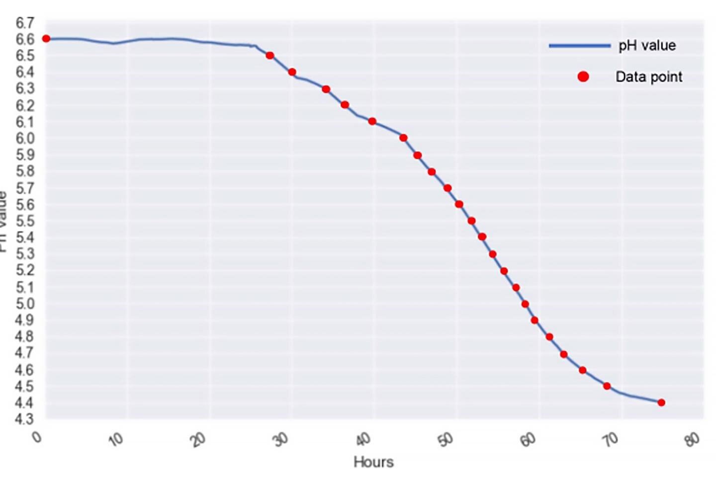
همانطور که شیر خراب می‌شود، از یک کلوئید که به ماده‌ای گفته می‌شود که به طور مساوی در ماده دیگری پخش می‌شود، به اجزای جداگانه‌ای از کشک، آب‌پنیر و آب تبدیل می‌شود. این تخریب، خواص فیزیکی مایع را تغییر می‌دهد و سیگنال‌های ارتعاشی مختلفی تولید می‌کند. با این تغییرات، pH تغییر می‌کند، از ۶.۶ (تازه) به ۴.۴ (کاملا خراب) می‌رسد.

اپلیکیشن وایب‌میلک از سیگنال‌های ارتعاشی تولید شده توسط موتور گوشی هوشمند و جمع‌آوری شده آن توسط واحد اندازه‌گیری اینرسی (IMU) برای تشخیص درجه ارتعاش تولید شده استفاده می‌کند. با استفاده از الگوریتم‌های یادگیری ماشینی روی داده‌ها، برنامه یکی از ۲۳ سطح pH را به آن اختصاص می‌دهد.

محققان در حال آزمایش این اپلیکیشن بر روی چهار تلفن هوشمند معمولی با دو نوع موتور لرزشی یعنی پیکسل ۶ گوگل و سامسونگ گلکسی اس ۲۲، سامسونگ گلکسی ۲۱ FE و پیکسل ۵ گوگل هستند. آنها دریافتند که وایب‌میلک pH شیر را با دقت متوسط ۹۸.۳۵ درصد پیش بینی می‌کند و شیر تازه و دست نخورده را با دقت ۱۰۰ درصد تشخیص داد.

بر خلاف روش‌های دیگر برای تشخیص فساد، این اپلیکیشن به ظرف شفاف یا باز شدن ظرف نیاز ندارد و گران قیمت نیست.

ارسال نظرات
خط داغ