ترنج موبایل
کد خبر: ۶۱۲۱۵۲

گزارش مرکز آمار از آخرین تغییرات قیمتی/ کاهش ۲۰ درصدی تورم از کجا آمد؟

گزارش مرکز آمار از آخرین تغییرات قیمتی/ کاهش ۲۰ درصدی تورم از کجا آمد؟

براساس گزارش مرکز آمار ایران، شاخص تورم خوراکی‌ها و آشامیدنی‌ها در بهمن‌ماه امسال نسبت به بهمن‌ماه سال گذشته ۷۱.۵ درصد افزایش یافته است. به این ترتیب که در طول یک‌سال گذشته قیمت نان و غلات ۶۲.۲ درصد، گوشت قرمز، سفید و فرآورده‌های آن‌ها ۷۹.۹ درصد، گوشت قرمز و گوشت ماکیان ۸۷.۴ درصد، ماهی‌ها و صدف‌داران ۴۰ درصد، شیر، پنیر و تخم‌مرغ ۸۲.۷ درصد، روغن‌ها و چربی‌ها ۲۴۶.۹ درصد، میوه و خشکبار ۴۴.۶ درصد و سبزیجات ۶۵.۶ درصد گران شده است.

در گزارش مرکز آمار ایران، اعداد و ارقام قابل توجهی دیده می‌شود که تغییر فاحش قیمت‌ها را در طول یک‌سال گذشته تایید می‌کند؛ به طوری که در برخی کالا‌ها حتی شاهد افزایش بیش از ۲۰۰ درصد تورمی هم بوده‌ایم.

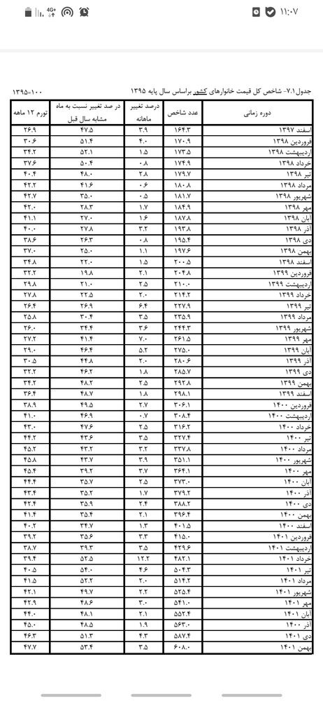
به گزارش خبرآنلاین، آخرین گزارش رسمی دولت از تغییر قیمت‌ها، از افزایش تورم نقطه به نقطه به حدود ۵۳.۴ درصد حکایت دارد. این برای پنجمین ماه در طول امسال است که شاخص تورم نقطه‌ای (تورم بهمن ماه امسال نسبت به بهمن سال گذشته) از ۵۰ درصد عبور کرده و به حدود ۵۳.۴ درصد رسیده است. این در شرایطی است که تورم نقطه‌ای بهمن ماه به تورم تیرماه و پس از اجرای جراحی اقتصادی دولت بازگشت؛ به طوری که بلافاصله پس از شوک قیمتی‌ای که با حذف ارز ۴۲۰۰ تومانی در اردیبهشت‌ماه امسال اتفاق افتاد، نرخ تورم نقطه به نقطه در خردادماه به یک‌باره از ۳۹.۳ درصد در اردیبهشت‌ماه به ۵۲.۵ درصد در خردادماه تغییر پیدا کرد. این شاخص در تیرماه به ۵۴ درصد رسید و در مردادماه با ۱.۸ درصد کاهش به ۵۲.۲ درصد تغییر کرد.

گزارش‌های مرکز آمار نشان می‌دهد که نرخ تورم نقطه به نقطه از مردادماه روندی نزولی به خود گرفت؛ تا جایی که پایین‌ترین عدد در آبان‌ماه امسال ثبت شد که ۴۸.۱ درصد بود؛ این نقطه‌ای بود که مسوولان دولتی، از تخلیه کامل شوک تورمی حذف ارز ۴۲۰۰ تومانی سخن می‌گفتند و حتی پیش‌بینی ادامه این روند و کاهش نرخ تورم تا پایان سال را داشتند.

بانک مرکزی نیز طی گزارش‌های متعدد بر روی این موضوع تاکید داشت و در یک گزارش اعلام کرد: «طبق پیش‌بینی‌ها، اجرای طرح مردمی‌سازی یارانه‌ها و سیاست حذف ارز ترجیحی در ماه‌های نخست اجرای طرح موجب اصلاح و افزایش قیمت کالا‌های اساسی مرتبط با تخصیص ارز ترجیحی شد، اما با توجه به تقلیل و حتی حذف مولفه‌های افزایش‌دهنده نرخ تورم از این محل، روند افزایشی تورم ماهانه شاخص بهای کالا‌ها و خدمات مصرفی در تیرماه متوقف و معکوس شد و بنابراین انتظار می‌رود این روند کاهشی تورم ماهانه استمرار داشته باشد. علاوه بر این با توجه به اینکه نرخ تورم سالانه معادل میانگین تورم ۱۲ ماهه است، با کند شدن روند افزایشی تورم ماهانه ناشی از تخلیه اثر حذف ارز ترجیحی، کاهش تورم سالانه نیز محتمل خواهد بود.»

هزینه افراد چقدر افزایش یافت؟

اما در واقعیت چه اتفاقی افتاد؟ در گزارش مرکز آمار ایران، اعداد و ارقام قابل توجهی دیده می‌شود که تغییر فاحش قیمت‌ها را در طول یک‌سال گذشته تایید می‌کند؛ به طوری که در برخی کالا‌ها حتی شاهد افزایش بیش از ۲۰۰ درصد تورم هم بوده‌ایم.

براساس گزارش مرکز آمار ایران، شاخص تورم خوراکی‌ها و آشامیدنی‌ها در بهمن‌ماه امسال نسبت به بهمن‌ماه سال گذشته ۷۱.۵ درصد افزایش یافته است. به این ترتیب که در طول یک‌سال گذشته قیمت نان و غلات ۶۲.۲ درصد، گوشت قرمز، سفید و فرآورده‌های آن‌ها ۷۹.۹ درصد، گوشت قرمز و گوشت ماکیان ۸۷.۴ درصد، ماهی‌ها و صدف‌داران ۴۰ درصد، شیر، پنیر و تخم‌مرغ ۸۲.۷ درصد، روغن‌ها و چربی‌ها ۲۴۶.۹ درصد، میوه و خشکبار ۴۴.۶ درصد و سبزیجات ۶۵.۶ درصد گران شده است.

همچنین در بهمن‌ماه امسال نسبت به بهمن‌ماه سال گذشته هزینه دخانیات ۳۳.۷ درصد، پوشاک و کفش ۴۶.۵ درصد، مسکن، آب، برق، گاز و سایر سوخت‌ها ۳۹.۹ درصد، بهداشت و درمان ۵۴.۳ درصد، حمل‌ونقل ۵۰.۲ درصد، ارتباطات ۱۵.۳ درصد، تفریح و فرهنگ ۳۲.۶ درصد و هتل و رستوران ۷۸.۹ درصد افزایش داشته است.

گزارش مرکز آمار از آخرین تغییرات قیمتی/ کاهش ۲۰ درصدی تورم از کجا آمد؟

نرخ تورم ماهانه چگونه کاهش یافت؟

اما نکته قابل توجه در میان اعداد و ارقام منتشر شده توسط مرکز آمار در خصوص تورم بهمن‌ماه ۱۴۰۱ وجود دارد، کاهش ۳.۵ درصدی نرخ تورم ماهانه است. بنا به این گزارش، نرخ تورم ماهانه بهمن ۱۴۰۱ نزولی شد و به ۳.۵ درصد رسید که در مقایسه با دی ماه، ۰.۸ واحد درصد کاهش داشته است.

مشاهده این عدد در حالی است که در گزارش رسمی دولت، از افزایش ۴.۷ درصدی تورم بخش خوراکی‌ها و آشامیدنی‌ها خبر داده شده است. به این شکل که در بهمن‌ماه امسال نان و غلات ۲.۳ درصد، گوشت قرمز، سفید و فرآورده‌های آن ۱۰.۵ درصد، گوشت قرمز و گوشت ماکیان ۱۰.۸ درصد، ماهی‌ها و صدف‌داران ۷.۸ درصد، میوه و خشکبار ۱.۲ درصد، روغن‌ها و چربی‌ها ۰.۵ درصد و سبزیحات ۱۲.۴ درصد گران شده است.

البته در گزارش مرکز آمار، نرخ ماهانه دخانیات در بهمن‌ماه ۱.۸ درصد، پوشاک و کفش ۳.۲ درصد، مسکن، آب، برق، گاز و سایر سوخت‌ها ۲.۶ درصد، حمل‌ونقل ۳.۵ درصد، بهداشت و درمان ۱.۶ درصد، تقریح و فرهنگ ۲.۸ درصد و ارتباطات ۲.۱ اعلام شده است.

مشاهده تغییر قیمت‌ها در طول یک‌ماه گذشته در حال حاضر این سوال را برای عموم مطرح می‌کند که در حالی که موجی از افزایش قیمت‌ها به خصوص در اقلام اساسی مردم ایجاد شده، چگونه نرخ تورم ماهانه کاهشی بوده است؟ این در شرایطی است که تورم سالانه در بهمن‌ماه ۱.۴ درصد رشد پیدا کرده است. براساس گزارش مرکز آمار ایران، نرخ بهمن سالانه بهمن ۱۴۰۱ به ۴۷.۷ درصد افزایش یافته و این در حالی است که این شاخص در ماه قبل از آن (دی‌ماه) ۴۶.۳ درصد اعلام شده بود.

گزارش رسمی دولت در این میان حاکی از آن است نرخ تورم سالانه از ابتدای امسال ۸.۵ درصد افزایش یافته؛ به طوری که نرخ تورم از ۳۹.۲ درصد در فروردین‌ماه ۱۴۰۱ به ۴۷.۷ درصد در بهمن‌ماه ۱۴۰۱ تغییر کرده است.

کاهش ۲۰ درصدی تورم از کجا آمد؟

با وجود مشاهده چنین اعداد و ارقامی از وضعیت تورم و وضعیتی که در قیمت‌ها مشاهده می‌شود، دولت سیزدهم تاکید دارد که کشور را با تورم ۶۰ درصدی تحویل گرفته و توانسته این تورم را به ۴۰ درصد کاهش دهد؛ عدد ۶۰ درصدی که در هیچ یک از اعداد و ارقام مرکز آمار (تورم سالانه و نقطه به نقطه) دیده نمی‌شود. به این شکل که در مردادماه ۱۴۰۰ که دولت سیزدهم به روی کار آمار، نرخ تورم نقطه به نقطه براساس گزارش مرکز آمار ایران، ۴۳.۲ درصد و نرخ تورم سالانه ۴۵.۲ درصد اعلام شده است.

با این حال، سید ابراهیم رییسی، رییس‌جمهور در آخرین گفت‌وگوی تلویزیونی خود هم تاکید کرد که دولت کشور را با تورم شصت درصدی تحویل گرفت و علی رغم تحولات جهانی و منطقه‌ای و مساله اصلاح یارانه‌ها و حذف ارز ۴۲۰۰، دولت توانست این تورم را به چهل درصد کاهش دهد.

ارسال نظرات
خط داغ